A valószínűségszámítás és a matematikai statisztika alapkövei között számos fogalom található, amelyek nélkülözhetetlenek a véletlen jelenségek megértéséhez és modellezéséhez. Ezek…
Az űrutazás története tele van ambiciózus álmokkal és lenyűgöző mérnöki teljesítményekkel. Az emberiség mindig is vágyott arra, hogy túllépjen saját…
A kvantummechanika alapvető célja az atomok és molekulák elektronikus szerkezetének leírása, ami elengedhetetlen a kémiai reakciók, anyagtulajdonságok és spektroszkópiai jelenségek…
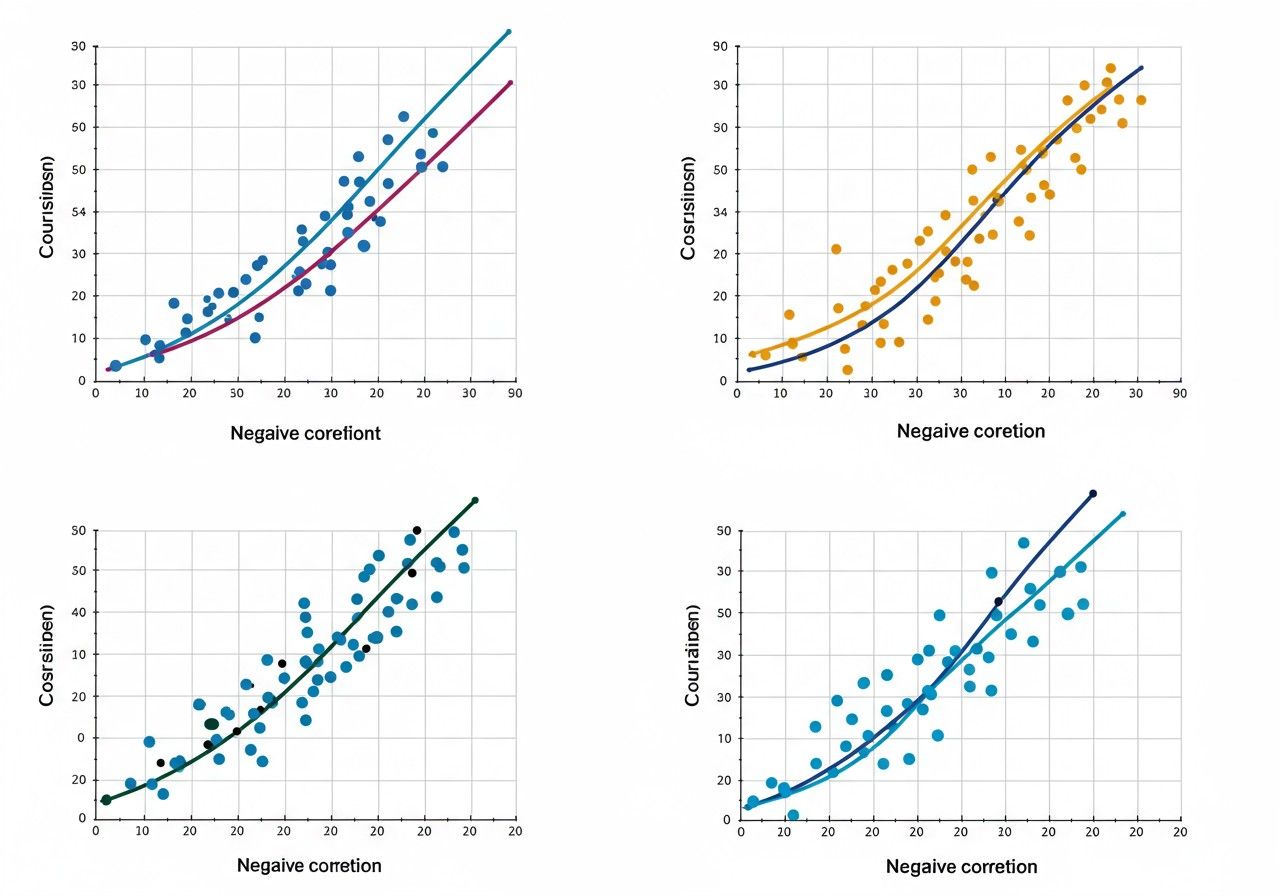
Az adatok világában, ahol a mennyiségi elemzés alapvető fontosságú, gyakran találkozunk olyan jelenségekkel, amelyek látszólag összefüggenek egymással. Két vagy több…
A milliomod rész fogalma sokak számára elsőre talán elvontnak tűnhet, mégis mindennapi életünk számos területén, a tudománytól a technológiáig, alapvető…
A mozgás, legyen az egyenes vonalú vagy görbe mentén történő elmozdulás, az emberiség ősidők óta foglalkoztatja a tudósokat és mérnököket.…
Elgondolkodott már azon, mi történik, amikor egy rakéta elhagyja a Földet, és soha többé nem tér vissza? Mi az a…
Vajon lehetséges-e megérteni és előre jelezni a világunkban tapasztalható kiszámíthatatlan eseményeket, a tőzsdei árfolyamok ingadozásától kezdve a sejtek mozgásán át…
A 17. század vége és a 18. század eleje a tudományos gondolkodás forradalmi időszaka volt, amikor a matematika, a fizika…
A fókusz, vagy ahogyan a magyar nyelvben gyakran emlegetjük, a gyújtópont, egy olyan alapvető fogalom, amely mélyen gyökerezik a fizika,…
Az idő múlásának megértése és pontos mérése évezredek óta foglalkoztatja az emberiséget. A civilizációk fejlődésével egyre kifinomultabb eszközöket és módszereket…
Joseph-Louis Lagrange, a 18. század egyik legkiemelkedőbb matematikusa és fizikusa, olyan intellektuális óriás volt, akinek munkássága mélyen áthatotta és forradalmasította…
A térfoglalás, a méretek és arányok megértése alapvető fontosságú mindennapi életünkben és a tudomány számos területén. Amikor apró felületekről, finom…
Az RMS rövidítés gyakran felbukkan a tudomány, a mérnöki tudományok és a technológia számos területén. Legyen szó elektromosságról, hangtechnikáról, statisztikáról…
Explore all our news and events which interest you.
Az emberiség történetének hajnalától kezdve az idő mérése és rendszerezése alapvető szükséglet volt. A napszakok váltakozása, a Hold fázisai és…
A matematika világa tele van lenyűgöző és sokoldalú geometriai formákkal, melyek közül a kúpszeletek különösen kiemelkedőek. Ezek az alakzatok nem…
A hígítás egy alapvető kémiai és fizikai folyamat, amely során egy oldat vagy anyag koncentrációját csökkentjük egy oldószer hozzáadásával. Ez…
A modern matematika és fizika számos területén alapvető szerepet játszik egy absztrakt, mégis rendkívül erőteljes matematikai struktúra: a Hilbert-tér. Ez…
A térfogat, a hosszúság és az idő mellett a terület az egyik legalapvetőbb fizikai mértékegység, amellyel mindennapi életünk során találkozunk.…
A tudomány, a mérnöki munka és a mindennapi élet számos területén alapvető fontosságú a pontos és egyértelmű mérés. Ahhoz, hogy…
Sign in to your account